振动试验内容介绍——随机振动试验
栏目:行业新闻 发布时间:2025-08-06
  随机振动试验涉及到很复杂的数学计算,想要搞懂其内涵,及其困难。初入者先理解本文所述内容即可。   如上图,随机振动没有周期性,其波形在时间轴上

  随机振动试验涉及到很复杂的数学计算,想要搞懂其内涵,及其困难。初入者先理解本文所述内容即可。

  如上图,随机振动没有周期性,其波形在时间轴上无法数式化表示,一般,振幅的概率密度函数近似符合正态分布(Normal Distribution)。假定:随机振动试验是平稳的各态历经(ergodic process)的正态分布。离开了这个假定,随机振动试验无从谈起。

  另外,初入者还要理解一个频谱的概念,随机振动基本上都是在频域范围内展开的。其波形,通过傅里叶变换,可以理解成是由无数的正弦波合成而来。将各个正弦波的频率和幅值用坐标表示的话,就得到其频谱图,如下二图。一般,随机振动都是有无数正弦波构成的,其频谱图为一条曲线,而不是下二图中间断性表示的。

  理解频谱图以后,经过一系列的数学计算、傅里叶变换、解析等,得到随机振动的功率谱密度,即PSD(power spectrum density),功率谱密度是随机试验中使用的一种谱,用通过在中心频率设置的窄幅过滤器的加速度信号平方的平均值的单位频率值表示。也称为加速度谱密度(acceleration spectral density,ASD),单位(m/s

  /Hz有了PSD(或ASD)我们才可以进行随机振动试验,如何得到PSD,这是一个很复杂的数学计算过程,涉及到大量的人力、物力、财力。个人理解为以下过程:1. 场景作成。对实际使用环境进行划分为几个子场景,对子场景进行组合,再构成全体的使用条件(场景)。2. 振动测定。对各个子场景下的实际振动进行测定,保存时域的波形振动数据。3. 振动解析。FFT,将保存的各振动波形变换成加速度功率谱密度PSD。4. 数据编辑。观察所有的PSD数据,通过PSD形状来划分群组。求出各个子场景代表性的PSD,对各个群正态化处理。通过正态化处理,短缩试验时间(加速化)。

  5. 试验条件生成。通过对正态化的各子场景PSD的包络,求出试验条件的PSD。其试验时间是各子场景正态化的试验时间的总和。

  这个过程一般称为tailoring,是指对产品在使用或者运输等实际环境中的振动进行测定和解析,开发出适合产品的振动试验条件。

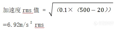
  加速度rms值作为表示随机振动试验大小的一个指标,经常会使用到。上例中PSD是单纯的平直谱,计算比较简单。实际中PSD谱比较复杂,建议使用振动控制仪,输入频率和PSD值后,会自动得到加速度rms值。

  图中S表示绿线所围面积,开根号后即可得到加速度有效值。面积可以看成4个图形(长方形+梯形+梯形+长方形)的和。由于是对数坐标,各个图形的面积计算公式不能简单的用直线坐标方式计算,具体计算方法以后再叙。

  Hz处PSD的3.322oct×6dB/oct=19.934dB,即10log(PSD100/1)=19.934dB,最后得到PSD100=101.9934=98.5(m/s2)2/Hz。1000Hz处PSD没有增加(0dB),所以此处的PSD值和100Hz处的PSD值一样。总结:随机振动试验涉及到很复杂的数学计算,想要搞懂其内涵,及其困难。初入者先理解上面所述即可,有能力的,推荐书籍《随机振动试验应用技术》,胡志强、法庆衍等编著,北京:中国计量出版社,1996。